刘燕群课题组在妊娠期PM1暴露对母婴肠道菌群的影响研究中取得新进展
近日,17c
刘燕群课题组在环境科学高水平期刊Environmental Research(JCR 1区,IF=8.3)杂志上发表了题为“Does PM1 exposure during pregnancy impact the gut microbiota of mothers and neonates?”(妊娠期PM1暴露会影响母婴的肠道菌群吗?)的研究成果。该研究发现妊娠期PM1暴露会显著影响母亲和新生儿的肠道菌群,特别是对新生儿胎粪菌群的多样性、组成和功能通路有较大影响,并讨论了其潜在的健康风险,研究结果对未来的孕产妇健康管理具有重要意义。17c
刘燕群副教授为通讯作者,北京大学公共卫生学院黄婧副研究员为共同通讯作者,2022级博士研究生曹亚男、2021级硕士研究生臧恬滋和2022级硕士研究生邱天来是论文的共同第一作者。

空气污染物目前全球面临的最大环境健康风险,近年来其对肠道菌群的影响逐渐受到关注。人类生命关键的1000天始于妊娠期,产前母体肠道菌群暴露于各种外来抗原,影响胎儿免疫系统和组织发育。到目前为止,尚无流行病学研究探究妊娠期期PM1暴露是否会影响母亲和新生儿肠道微菌群的组成和多样性,以及这种影响在母婴之间是否存在差异。
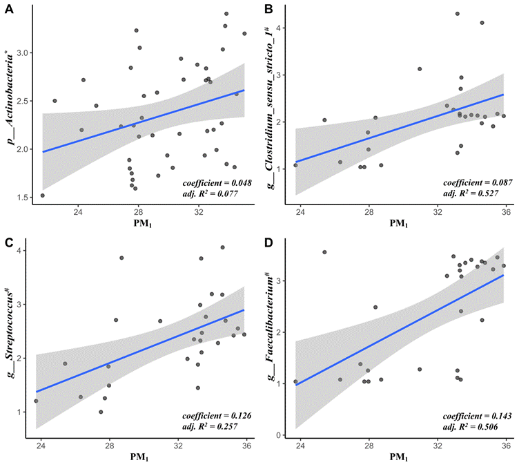
因此该课题组基于已建立的母婴队列开展了妊娠期PM1暴露对母婴肠道菌群的影响研究。利用国家遥感科学重点实验室研究小组开发的Space-Time Extra-Trees(STET)模型,根据研究对象居住地址估计其住址水平的PM1、 PM2.5、PM10、NO2、O3暴露情况,考虑到PM之间的高相关性,选择PM1、PM2.5和PM10联合暴露第一个主成分进行了敏感性分析。研究结果发现妊娠期PM1暴露与新生儿肠道菌群的α多样性呈正相关(图1),且新生儿样本间群落组成差异的14.8%可归因于PM1暴露。相比之下,妊娠期PM1暴露对母亲肠道微生物群的α-和β-多样性没有影响。在群落组成方面,妊娠期PM1暴露与母亲肠道菌群的放线菌门和新生儿肠道菌群的Clostridium_sensu_stricto_1、Streptococcus以及 Faecalibacterium菌属呈正相关(图2)。这些发现首次提供了妊娠期PM1暴露与母亲和新生儿肠道菌群之间存在重要关联的证据,为未来从环境风险因素角度进行母婴特别是胎儿宫内发育的保健管理提供了理论依据。

图1 妊娠期PM1暴露对新生儿胎粪菌群α多样性的影响

图2 妊娠期PM1暴露对母婴肠道菌群组成的影响
该研究工作得到国家自然科学基金(编号:81903334)的资助,论文链接://doi.org/10.1016/j.envres.2023.116304